Asante meldet weitere bedeutende Bohrergebnisse auf Prospektionsgebiet Aboduabo, Chirano-Goldmine, Ghana
Asante Gold Corporation (CSE:ASE | GSE:ASG | FRANKFURT:1A9 | U.S.OTC:ASGOF) („Asante“ oder das „Unternehmen“) freut sic…
Asante Gold Corporation (CSE:ASE | GSE:ASG | FRANKFURT:1A9 | U.S.OTC:ASGOF) („Asante“ oder das „Unternehmen“) freut sic…
Genesis AI Corp. („Genesis AI“ oder das „Unternehmen“) (CSE:AIG – WKN: A3ENW3 – FRA: NL8) freut sich bekannt zu geben, d…
- Sumitomo Metal Mining und Nano One werden im Rahmen eines Kooperationsvertrages zusammenarbeiten. - Sumitomo Meta…
Arbor Metals Corp. („Arbor“ oder das „Unternehmen“) (TSXV: ABR, FWB: 432) gibt bekannt, dass das Explorationsteam des Un…
. HIGHLIGHTS - Arcadia schließt den Erwerb des Lithium-Ton-Projekts durch Zahlung von Au$164.000 ab (1) - …
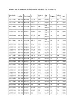
Studien gehen davon aus, dass die Investitionen in Bewässerungsanlagen in den kommenden Jahren deutlich zunehmen werden.…
Trench Metals Corp. (das „Unternehmen“) (TSXV: TMC, FWB: 33H2) gibt die laufende Prüfung der technischen Daten des unter…
Saturn Oil & Gas Inc. (TSX: SOIL) (FWB: SMKA) (OTCQX: OILSF) („Saturn“ oder das „Unternehmen“) stellt heute ein Betriebs…
Emergent Waste Solutions Inc. („EWS“ oder „das Unternehmen“) freut sich bekannt zu geben, dass das Unternehmen eine Absi…
Water Ways Technologies Inc. (TSXV: WWT) (FRA: WWT) ("Water Ways" oder das "Unternehmen"), ein globaler Anbieter von Lan…